전기실기) 전압 강하, 약산식 총정리 (송전특성 포함)
2020. 8. 25. 17:12ㆍ참고자료
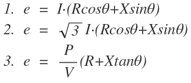
송전단 - 수전단 전압강하 계산식은 아래와 같습니다

1 = 단상 전압강하 (1선당 저항or 리액턴스가 주어질경우 2배해서 대입해야합니다)
2 = 3상 전압강하
3 = 단상,3상 전압강하
3번의 경우 P는 √3 V I cos 또는 V I cos 두개가 될수있기때문에 공통된 식으로 사용가능합니다.
두번째는 회로에서의 전압강하 계산식입니다.

1번은 단상3선식,직류3선식,3상4선식 (단상직류3선식+4선식으로 암기)
2번은 단상2선식, 직류2선식 (2선식은 2IR으로 암기)
3번은 3상3선식 (델타결선)
입니다
다음은 공식유도입니다.


'1/58 X 100/97' 과 '1/55' 는 그 값이 미묘하게 다릅니다
전기기사 실기에서는 별도의 언급이 없으면 전선은 '경동선'이며, 전선의 고유저항을 '1/58 X 100/97'를 기본값으로 합니다 (중요)
언급이 있을경우 보통 약식인 1/55를 기준으로 합니다.
경동선의 도전율은 96~98 사이 이지만 기사실기에서는 97을 기준으로 하므로 97만 기억하시기 바랍니다
'참고자료' 카테고리의 다른 글
| 전동기의 기동,역회전 방법 모음 (0) | 2020.08.30 |
|---|---|
| 전기실기) 거리계전기 (계전기측에서 본 임피던스) (0) | 2020.08.28 |
| 전기실기) 송전단전력, 수전단전력 차이,문제풀이법 (0) | 2020.08.25 |
| 전기실기) 수평면 조도 , 수직면 조도 구분하기 (1) | 2020.08.24 |
| 벡터의 회전(curl)의 의미 (0) | 2020.08.05 |