전기실기) 수평면 조도 , 수직면 조도 구분하기
2020. 8. 24. 14:50ㆍ참고자료
조명파트의 수평면 조도와 수직면 조도에서 '수평'과 '수직'이 어디에 수평이고 어디에 수직인지를 명확히 설명해놓은곳이 없습니다.
아래에서 배워보도록 하겠습니다.

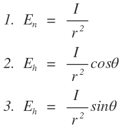
1은 법선조도,
2는 수명면 조도 Eh (horizon = 수평면의)
3은 수직면 조도 Ev (vertical = 수직면의)
입니다.
수평과 수직의 기준은 아래와 같습니다

기준이 되는 조광면이 수직면, 기준 광원과 평행하는 면이 수평면으로 봅니다. 보통은 바닥이 기준이 됩니다.

h 는 height (높이)
d 는 distance (거리)
r 은 radius (반경)
의 약자입니다.
I 는 광도의 기호입니다.


그림에 맞춰 공식을 대입하시면 되겠습니다.
여기까지 수평면조도, 수직면조도에 대해서 알아봤습니다.
'참고자료' 카테고리의 다른 글
| 전기실기) 거리계전기 (계전기측에서 본 임피던스) (0) | 2020.08.28 |
|---|---|
| 전기실기) 전압 강하, 약산식 총정리 (송전특성 포함) (3) | 2020.08.25 |
| 전기실기) 송전단전력, 수전단전력 차이,문제풀이법 (0) | 2020.08.25 |
| 벡터의 회전(curl)의 의미 (0) | 2020.08.05 |
| 전기 설비기준 지지물의 경간 총정리 (1) | 2020.05.13 |