전기실기) 과전류 차단기의 선정
2020. 9. 9. 04:58ㆍ참고자료
1편 간선의 허용전류 https://estein.tistory.com/16
2편 과전류 차단기의 선정 https://estein.tistory.com/17?category=902030
3편 과전류 차단기의 분기선 시설위치 https://estein.tistory.com/18?category=902030
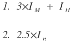
과전류 차단기는 아래 중 작은값을 정격으로 선정합니다.

im=전동기전류
IH=전열기전류
In=간선의 허용전류
이에따라 과전류 차단기의 정격은 전동기,전열기 전류 or 사용하는 전선에 따라 결정된다는 것을 알수있습니다.
작은값으로 선정하는 이유
과전류를 낮은값에서 차단할수록 선로가 소손되는 경우가 줄어드므로 '작은값'이 성능이 좋고 우선되는 값입니다.
간선의 허용전류는 이와반대로 클수록 간선이 굵고 소손이 덜되므로 '큰값'이 좋습니다.
최종적으로 어떻게 채택해야합니까?
1. 60A
2. 110A
계산값이 위와같이 두개가 나올경우
60A 기준으로 선정하여 이보다 더 적은 정격을 가진 과전류 차단기를 선정해야합니다.
따라서 60A 바로 아래 규격인 50A의 정격을 가진 과전류차단기를 선정해야합니다.
'참고자료' 카테고리의 다른 글
| 전기기사) 단권변압기 (2) | 2020.11.12 |
|---|---|
| 전기실기) 과전류차단기의 분기선 시설위치 (0) | 2020.09.09 |
| 전기실기) 간선의 허용전류 (0) | 2020.09.09 |
| 전동기의 기동,역회전 방법 모음 (0) | 2020.08.30 |
| 전기실기) 거리계전기 (계전기측에서 본 임피던스) (0) | 2020.08.28 |