2020. 11. 17. 06:14ㆍ참고자료
변압기 효율 기본공식
변압기의 효율은 다음과 같습니다.

변압기의 손실은 철손과 동손으로 구분되는데
이 둘의 차이가 우리를 머리아프게 하는 주범입니다.
전부하와 부분부하
전부하는 변압기의 출력이 100퍼센트,
부분부하 상태는 출력이 50퍼센트, 25퍼센트 등일때를 말합니다.
부분부하 상태는 전부하와 무엇이 다릅니까?
50퍼센트 부하는 출력이 50퍼센트가 됩니다.
철손은 출력과 관계 없이 일정합니다
그러나 동손은 I^2R 이기때문에
출력이 1/2로 줄어들어 전류도 1/2 이 줄어들때
동손은 제곱하여 1/4 이 줄어듭니다
모식도로 나타내면 아래와 같습니다.

부하율에 따른 효율 공식
부하율을 m으로 두었을때 공식은 다음과 같습니다.

Pi는 철손, Pc는 동손 입니다
각각 철,구리의 iron ,copper 른 딴 약자입니다.
이 공식을 변형하면 다음과 같은 식을 얻을수 있습니다.

변형공식
우리가 부하율에 따른 효율을 찾을때 사용하게 되는것이 바로 이공식입니다.

저 동그라미 친부분이 0에 가까울수록 효율이 크다는걸 알수가 있는데요
m이 변수이고 Pi, Pc는 상수입니다.
이제 m이 어떤값을 가질때 저 동그라미가 최솟값이 되는지를 알아야 하는데
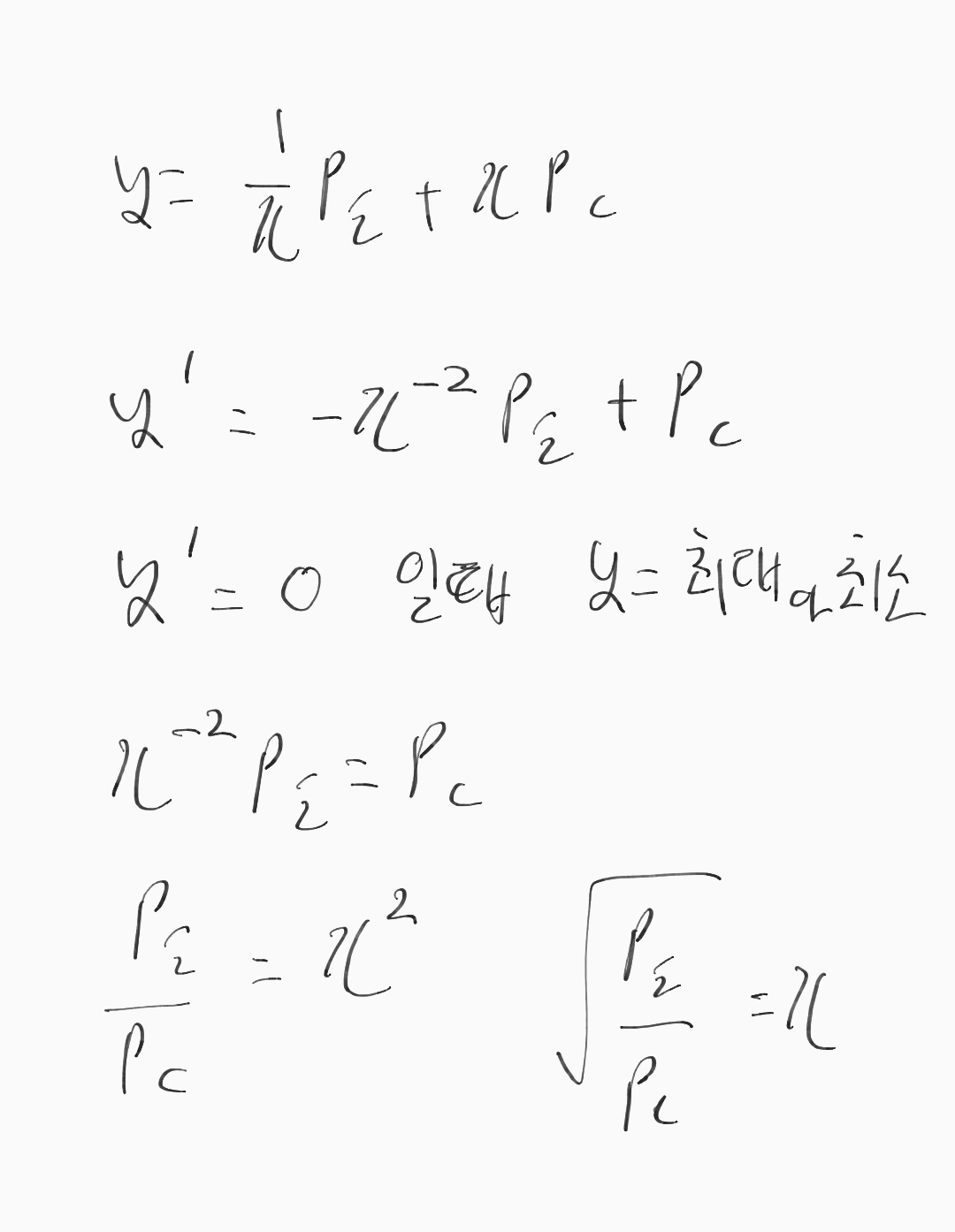
사실 여기부터는 수학의 영역입니다.


y = x + 1/x 는 저런모양의 함수고
y'=0 지점이 최소,최대값이고
x = +- 루트Pi/Pc 로 값이 나오는데
부하율은 양의실수값이므로
위와같은 하나의값을 가집니다.
조금 어려우신분들은 공식만 암기하셔도 좋습니다
'참고자료' 카테고리의 다른 글
| 접지저항계 'G단자' 의미 번역 (0) | 2021.04.21 |
|---|---|
| E CAD 필기 (0) | 2021.02.08 |
| 전기기사) 단권변압기 (2) | 2020.11.12 |
| 전기실기) 과전류차단기의 분기선 시설위치 (0) | 2020.09.09 |
| 전기실기) 과전류 차단기의 선정 (0) | 2020.09.09 |