전기기사) 벡터의 라플라시안,적분기호,스토크스정리
2020. 8. 4. 03:09ㆍ전기기사 필기 강좌/전기자기학
이번시간엔 마지막으로 라플라시안과 스톡스 정리를 알아보겠습니다.
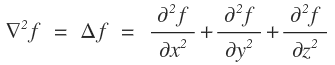
라플라시안

라플라시안은 편미분을 두번 해주는 연산입니다.
스칼라 함수 → 벡터 함수 → 스칼라 함수
의 방식으로 연산하게 됩니다.
이를 다시 나타내면 아래와 같습니다.

적분 기호

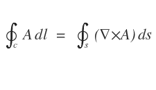
1. 선적분으로 'c'urve integral, 'l'ine integral로 모두 선적분을 나타냅니다.
2. 폐곡선의 선적분입니다.
3. 면적분으로 's'urface integral 을 뜻합니다.
4. 폐곡면의 면적분입니다.
5. 체적적분으로 'v'olume integral 을 뜻합니다.
스토크스 정리

A 벡터필드의 임의의 폐곡선 c를 적분한값은
A 벡터필드의 선c를 포함한 임의의 폐곡면에서의 벡터를 회전연산 시킨다음 면적분한값과 같다는 내용입니다.
이는 2장에서 다시 알아보도록 하겠습니다.
면적분 ←→ 선적분 전환한다는 것만 머리에 담아두시는걸 추천드립니다.
'전기기사 필기 강좌 > 전기자기학' 카테고리의 다른 글
| [전기기사 - 전기자기학 강의] 2. 정전계 (2편) (0) | 2020.08.12 |
|---|---|
| 전기기사) 정전계 유전율,쿨롱의법칙,전위의정의 (1) | 2020.08.05 |
| 전기기사) 벡터의 그래디언트,발산,회전 (0) | 2020.07.31 |
| 전기기사) 벡터의 합,차,내적,외적 (0) | 2020.07.28 |
| [전기기사 - 전기자기학 강의] 0. 오리엔테이션 (0) | 2020.07.28 |