2020. 8. 12. 03:11ㆍ전기기사 필기 강좌/전기자기학
전기력선과 전속
양전하에서는 전기력선이 나가고 음전하는 전기력선을 받아들입니다.
이는 중고등학교에서 배우는 전자기학의 기초입니다.
전기기능사 및 전기기사 에서는 새로운단위인 '전속'을 소개합니다.
양전하에서는
전속과 전기력선이 같이 나가는 것으로 표현됩니다.
그림으로 표현하면 아래와 같습니다.

전기력선 : 전기력 작용을 시각화 한 선, 1개당 1N 의 힘을 가진다.
전속 : 전기장(electric field)의 단위, 1개의 전하가 만드는 전속은 1[C]이다.
전속의 속은 묶을 속(束) 을 씁니다. 1C에서 나오는 엄청난 수의 전기력선은 계산이 어려우므로
대신하여 쓰이는 단위라고 생각하시면 되겠습니다.

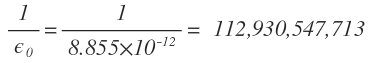
주의해서 보실점은 전속과 전기력선의 갯수가 상당한 차이가 있다는점입니다.
얼마나 차이 나냐구요? 아래와 같습니다

진공을 기준으로 전속 1개당 112,930,547,713개의 전기력선을 갖습니다. 무시무시하죠?
가우스 법칙 (적분 형식)
전기력선에 대해 알고있으신가요?

전기력선은 전자기학에서 전기력의 근원입니다.
1m^2 (단위면적) 에 3개의 전기력선이 작용할경우 3N의 힘이 작용합니다.
3차원 공간에 전하가 놓인다면 전기력선은 어떻게 작용할까요??

이런식으로 사방으로 뻗어나가게 될겁니다.
중요한점은 이것입니다
전기력선의 개수를 모르면 도대체 어떻게 셀것인가?
그 물음에 대한 해답이 바로 가우스 법칙입니다.
어떤 구가 전하를 둘러싸고 있다고 떠올려봅시다
아래와 같은 모양이 될겁니다.

구의 겉넓이는 4파이r^2 이므로
1m^2 의 단위면적에는
K / 4파이r^2 의 힘이 가해지게 됩니다.
그렇다면
F = K / 4파이r^2 에서
단위면적에 작용하는 힘의 크기 F만 알면
4파이r^2 * F (아는값) = K
이렇게 K를 구할 수 있게됩니다.
이런 논리를 정리한것이 가우스 적분법칙입니다.
단위면적당 가해지는 전기력을 전계의 세기라고 합니다.
전계의 세기를 잘 모르신다면 estein.tistory.com/9?category=886164
전기력선의 갯수는 곧 전기력의 세기 이기 때문에
단위면적당 전기력선갯수는 전계의 세기라고 볼수있습니다.
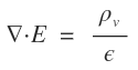
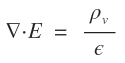
그러므로 이를 종합하여 식을 만들면 아래와 같습니다.

전하를 감싼 임의의 면에대한 전계의 면적분은 전하를 유전율로 나눈값(전기력선의 갯수) 이다.
가우스 법칙 (미분 형식)

전계의 발산은 전하밀도를 유전율로 나눈값과 같다는 것입니다.
이 식은 모든 공간에서 전계의 발산이 일정한 상수를 가진다고 설명하는 식인데
저도 선뜻 이해가 가지않아 링크만 첨부하도록 하겠습니다.
sites.google.com/site/puenggphysics/home/electromagnetics/gauss-law-differential-form
Gauss law (Differential Form) - Engineering Physics Class
This site will allow you to access content of engineering Physics syllabus of Peoples University,related assignments, attendence and stay informed in recent activities in physics.
sites.google.com
푸아송 방정식, 라플라스 방정식


둘다 같은 식이고 라플라스 방정식은
푸아송 방정식에서 f=0 (전하가 없음)일때의 방정식을 지칭합니다.
푸아송 방정식은 두개의 식을 대입하여 얻어낼수 있습니다.


'전기기사 필기 강좌 > 전기자기학' 카테고리의 다른 글
| 전기기사) 정전계 유전율,쿨롱의법칙,전위의정의 (1) | 2020.08.05 |
|---|---|
| 전기기사) 벡터의 라플라시안,적분기호,스토크스정리 (0) | 2020.08.04 |
| 전기기사) 벡터의 그래디언트,발산,회전 (0) | 2020.07.31 |
| 전기기사) 벡터의 합,차,내적,외적 (0) | 2020.07.28 |
| [전기기사 - 전기자기학 강의] 0. 오리엔테이션 (0) | 2020.07.28 |