2020. 8. 5. 11:09ㆍ전기기사 필기 강좌/전기자기학
유전율
유전율 이란 유전체(부도체)가 가진 고유한 특성값입니다.
유전율은 주로 아래 두개의 값에 관여합니다.
★★★★ 1. 전기력 감쇄비율 (반비례) ★★★★
★★★★ 2. 정전용량의 크기 (비례) ★★★★
정말 중요한 내용이니 별표 많이 쳐봤습니다.
유전율과 유전분극은 정전계에서 가장 중요한 내용입니다. 이글을 통해 심도깊게 천천히 따라와주시길 바랍니다.

유전율은 그리스문자 '입실론'을 사용합니다
입실론제로 - 입실론에스 라고 읽습니다.
입실론제로는 진공의 유전율로 아래와 같은값을 갖습니다.

비유전율은 진공의 유전율을 기준으로 진공의 유전율 : 물체의 유전율을 나타냅니다.
ex) 진공의 유전율 : 종이의 유전율 = k : 3k → 비유전율 3
다음은 유전율의 의미에 대해 알아보도록 하겠습니다.
먼저 첫번째 전기력의 감쇄비율 입니다.

똑같은 힘이 전달되어도 진공중에 작용하는 전기력과 종이속에 전달되는 전기력은 그 차이가 있습니다.
이때 종이에는 힘이 1/N 즉, 1/3 이 전달되는데 이때 N을 비유전율 이라고 합니다.
그러므로 비유전율은 전기력의 감쇄비율이 됩니다.
이는 유전분극 때문인데 유전분극에 대한 내용은 인터넷에 다른분들이 세세하게 잘 설명하신분들이 많아 생략하도록 하겠습니다.
그리고 두번째 정전용량의 크기입니다.
콘덴서(축전지)는 유전분극이 잘 일어날수록 용량이 커집니다.
콘덴서의 용량은 아래와 같습니다

S는 면적이고 d는 극판간 거리입니다. 유전율에 비례한다는것을 볼수있습니다.
정전용량에 대한 자세한 내용은 3장에서 다루도록 하겠습니다.
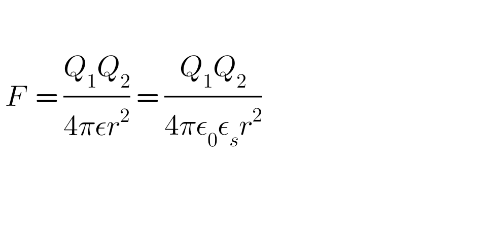
쿨롱의법칙
쿨롱의법칙이란 대전된 두 도체에 작용하는 힘의 크기를 말합니다.

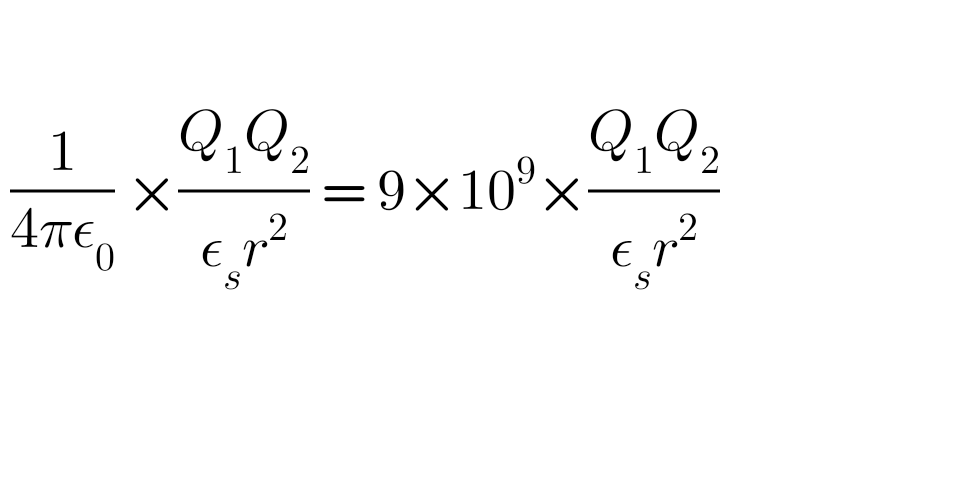
이중에 4파이 x 입실론제로 값은 언제나 변하지 않는값입니다 (비유전율과 전하량, 거리는 달라질수있습니다.)
따라서 다음과 같이 나타낼수 있습니다

이중 언제나 변하지 않는 9x10^9인 상수부분을 '쿨롱상수'라고 부르게 됩니다.
왜 4파이r^2을 포함한식이 되는지는 다음편을 통해 다루도록 하겠습니다.
전계의 세기
전계의 세기란 'Q전하가 있는 전기장에 +1c 전하를 두었을때 +1c에 작용하는 힘' 입니다.
흡인력이 작용할경우 전계의 세기는 -가 되고 반발력이 작용할경우 +가 됩니다.
쿨롱의 법칙과 크게 다른것은 없습니다.
전위의 정의
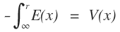
전위의 정의는 '전기력이 미치지 않을 정도로 먼거리부터 r지점까지의 당겼을때 축적되는 에너지' 입니다.
다 풀려져 있는 스프링을 다시 누를때 미는 에너지가 축적되죠? 그것과 같은 원리라고 보면 됩니다.

전위와 전계의 그래프입니다 전계의 그래프를 적분한것이 전위의 그래프가 됩니다.
적분과정을 실제로 보도록 하겠습니다.

위는 전위의 정의에 따라 무한대부터 r까지 전계함수를 정적분한 모습을 나타낸것입니다.
그런데 왜 전계적분앞에 -가 붙었을까요??
그이유는..
바로 적분을 거꾸로 할 경우 그 값은 음수가 되기 때문입니다.
정적분을 거꾸로 하는경우 반드시 -기호를 붙여주어야 합니다. (고등수학 정적분 교육과정)

사실 r부터 무한대까지 적분해도 같은값이기 때문에 정의와 반대의 방법으로 정적분해주셔도 전혀 상관없습니다. (사실 이방법이 더 쉽습니다.)
실제 계산할일 있을때에는 전자의 식을 쓰는것이 아닌 후자의 식을 사용하는것이 더 빠르고 좋습니다.
아래는 공부하다가 들수있는 의문점을 정리했습니다.
1.
Q) 전계의 무한대 값은 0 이 아니기 때문에 적분하면 발산하는거 아닌가요?
A) 1/x^2 꼴은 무한대 적분해도 정해진 값을 가집니다.
2.
Q) 흡인력을 가질경우 전위는 어떻게 되나요?
A) 정적분을 똑같이 하되, -를 붙입니다.
전위와 전위차
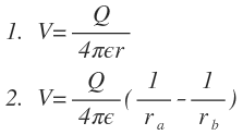
전위의 값은 아래와 같습니다.

1은 Q중심으로 부터 r부터 떨어진 지점에 전하가 놓였을때의 전위이고
2는 ra 지점과 rb사이의 전위차 입니다. (ra가 전위가 더크고 더가까운 지점입니다)
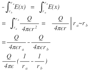
2식은 아래와 같은 정적분을 통해 구할수있습니다. 궁금하신분들은 해보시기 바랍니다.

지금까지 유전율, 쿨롱의 법칙, 전계, 전위에 대해 알아보았습니다.
다음시간에는 전기력선, 전속, 가우스법칙에 대해 본격적으로 배워보도록 하겠습니다.
'전기기사 필기 강좌 > 전기자기학' 카테고리의 다른 글
| [전기기사 - 전기자기학 강의] 2. 정전계 (2편) (0) | 2020.08.12 |
|---|---|
| 전기기사) 벡터의 라플라시안,적분기호,스토크스정리 (0) | 2020.08.04 |
| 전기기사) 벡터의 그래디언트,발산,회전 (0) | 2020.07.31 |
| 전기기사) 벡터의 합,차,내적,외적 (0) | 2020.07.28 |
| [전기기사 - 전기자기학 강의] 0. 오리엔테이션 (0) | 2020.07.28 |